第一节 产品技术发展现状
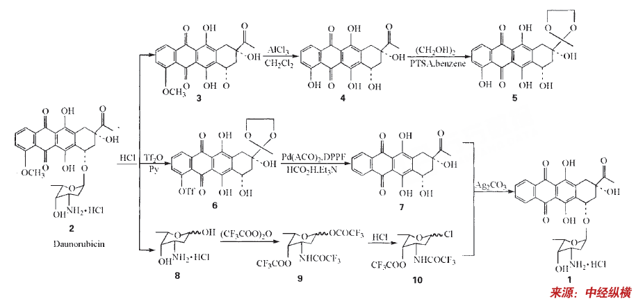
盐酸伊达比星的合成国内尚未见报道,我们在进行工艺 研究 时采用了半合成法,以柔红霉素为原料,经酸水解得到柔红霉酮和道诺胺糖,然后对柔红霉酮进行结构改造制得(+)4-去甲氧基柔红霉酮,最后与经结构修饰的道诺胺糖缩合的方法制得盐酸伊达比星。此工艺反应路线短,反应条件温和,操作简单,产品质量符合USP27版的标准,是一条具有工业化应用前景的合成路线。
第二节 产品工艺特点或流程
盐酸伊达比星合成流程图
11.44g(32mmo1)化合物(7)溶解于240ml二氯甲烷和二氧六环(体积比=l:1)的混合溶剂中,加入11.29碳酸银(40mmo1),室温反应24h后,过滤,滤液浓缩,将浓缩物溶解于1920ml二氯甲烷中,依次加人
7.849(21.3mmol)4-去甲氧基柔红霉酮,0.8g无水对甲苯磺酸和90g 4A分子筛,氮气保护下回流反应4h,冷却至室温,过滤,滤液以2×450ml饱和碳酸氢钠水洗,3×500ml水洗至中性,减压浓缩至干。浓缩物溶于650ml丙酮中,加入1920ml 0.2mol/L氢氧化钠溶液,室温反应lh后,10%盐酸调节至pH3,4×400ml二氯甲烷提取至二氯甲烷层无色。水层以碳酸氢钠调节pH至8左右,6×800ml二氯甲烷提取,3×500ml去离子水洗二氯甲烷提取层,无水硫酸钠干燥,过滤,减压浓缩至干,得伊达比星(4-去甲氧基-柔红霉素)粗品6.84g,将其溶解于17lml冰冷的0.1mol/L氯化氢甲醇液中,滴加1368ml无水二氯甲烷,析出橙色固体,抽滤,得5.95g盐酸伊达比星,收率64.5%。mp:184~185℃,(甲醇)=+205℃(c,0.1,MeOH),MSm/z:498。元素
分析
:C,56.22;H,5.41;N,2.54%理论值:C,56.38;H,5.48;N,2.54%(按C26H28C1N09··H20计算)。
IR(KBr):3350,1715,1625,1590,1410,1235,1120,985cm-1。
'H-NMR(DMSO-d6)δ 1.18(3H,d,J=6Hz,CH3.6’),1.70-2.24(4H,m,CH2—2’,CH2-8),2.30(3H,S,COCH3),3.00(2H,brs,CH2-10),3.54~3.70('H,brs,CH-4’),4.24(1H,q,J=6Hz,CH-5’),5.00(1H,brs,CH-7),5.32('H,brs,CH-1’),5.47(1H,d,J=6Hz,4-OH),5.58(1H,s,9-OH),7.75-8.05(3H,brs,NH3),7.95~8.12(2H,m,Ar),8.20~8.42(2H,m,Ar),13.36(1H,brs,ArOH),13.54(1H,brs,ArOH)。
第三节 国内外技术未来发展趋势 分析
就目前来说,国外盐酸伊达比星的生产技术较国内发展得快且相对完善,发展趋势应该是朝着新技术及高科技含量高的方向发展的,不仅注重安全在研发时其作用效果也是未来发展方向中较为重要的方面,以及对于患者服用后出来的不良反应等,都是未来盐酸伊达比星发展需要重点 研究 的方向。
免责申明:本文仅为中经纵横 市场 研究 观点,不代表其他任何投资依据或执行标准等相关行为。如有其他问题,敬请来电垂询:4008099707。特此说明。