第一节 分光器生产工艺流程 分析
1、熔融拉锥光纤分路器
FBT熔融拉锥法是制作光分路器最成熟、最便捷的方法。目前国内应用的绝大多数为FBT熔融拉锥型分路器。这种光分路器的光学指标较高,性能稳定可靠,经过多年的应用已得到普遍认可。
FBT型光分路器的制作过程一般分为四个步骤:
(1)熔融拉锥——在FBT熔融拉锥系统上制作lx2分路器基本单元;
1x2光分路器简图

(2)单元封装——用专用封装材料封装保护分路器耦合区;
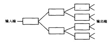
(3)熔接——根据设计要求,用lx2分路器单元组合熔接成lxN型光分路器;
1×N型光分路器简图

(4)成品封装——将1xN型光分路器模块化封装。
模块化封装的1×N型光分路器简图

2、平面光波导(PLC)分路器
PLC分路器的封装是指将平面波导分路器上的各个导光通路(即波导通路)与光纤阵列中的光纤一一对准,然后用特定的胶(如环氧胶)将其粘合在一起的技术。其中PLC分路器与光纤阵列的对准精确度是该项技术的关键。PLC分路器的封装涉及到光纤阵列与光波导的六维紧密对准,难度较大。当采用人工操作时,其缺点是效率低,重复性差,人为因素多且难以实现规模化的生产等。
PLC分路器采用半导体工艺(光刻、腐蚀、显影等技术)制作。光波导阵列位于芯片的上表面,分路功能集成在芯片上,也就是在一只芯片上实现1、1等分路;然后,在芯片两端分别耦合输入端以及输出端的多通道光纤阵列并进行封装。
第二节 国外分光器生产工艺发展阶段比较
随着通讯市场新增值业务如可视电话、IPTV、网络游戏等的不断推出,用户对带宽的要求不断提高,现有的以铜缆为主的XDSL网络已不能适应用户的需求。光进铜退已是大势所趋,特别一些发达国家如日本、美国、韩国等已将光纤到户(FTTH)作为国家战略加以鼓励发展。无源光网络(PON)已经成为各国FTTH的首选接入方案。
目前,光分路器主要有平面光波导技术和熔融拉锥技术两种。平面波导型光分路器由于采用半导体技术,工艺稳定性、一致性好,损耗与光波长不相关,通道均匀性好,结构紧凑体积小,大规模产业化技术成熟,已经被日本、美国、韩国、法国等多数国家指定采用技术。常用的光分路器有1×N和2×N(N=4,8,16,32,64)。
熔融拉锥技术目前成熟的一次拉锥工艺已能一次1×4以下器件。实验室有1×8的记录,但批量生产工艺还未成熟。目前国外FTTH工程中,低分路光分路器(1×4以下)常采用一次拉锥技术器件。
第三节 我国分光器生产工艺创新历程与途径
据我们了解,目前PLC器件中的芯片、胶水以及对准设备等大都需要进口,国内绝大部分PLC企业集中在封装端,国内在波导芯片的国产化方面进展非常缓慢。目前对PLC Splitter芯片进行研发的企业和科研机构屈指可数,四川飞阳科技可以说算一家,不过其国产芯片的性能和可靠性仍与国外产品存在一定差异,大部分厂商仍选择进口芯片。目前,对我国PLC光分路器来说 技术工艺 方面仍是薄弱点。
另外,长期致力于玻璃基离子交换波导芯片研制的浙江大学信息学院微电子与光电子学 研究 所博士生导师王明华教授指出,“目前实验室玻璃基PLC研发正艰难的一步一步向前走,研发阶段已过了,样品早已出来,但实验室条件下无法中间试验,主要原因是核心设备的缺乏。”换句话说,基础 研究 方面国内丝毫不差于国外,但由于苦于没有好的设备—核心设备和测试设备由于投资巨大,设备维护费用高,国内机构尚无力购买,这意味着距离量产还有很长一段路要走。
第四节 国内分光器生产设备简介
分光器的生产设备主要是耦合设备,它将使信号传入线路并过滤噪音。目前它还是一个插销插入电插座的相对独立的设备,今后它可能会和PLC调制解调器集成于一体。PLC调制解调器和PC内的耦合设备的集合体将有可能使PC直接在网上运行。
第五节 国内分光器生产设备应用现状
PLC分路器的封装是指将平面波导分路器上的各个导光通路(即波导通路)与光纤阵列中的光纤一一对准,然后用特定的胶(如环氧胶)将其粘合在一起的技术。其中PLC分路器与光纤阵列的对准精确度是该项技术的关键,封装过程包括耦合对准和粘接等操作。PLC分路器芯片与光纤阵列的耦合对准有手工和自动两种,它们依赖的硬件主要有六维精密微调架、光源、功率计、显微观测系统等,而最常用的是自动对准,它是通过光功率反馈形成闭环控制,因而对接精度和对接的耦合效率高。
免责申明:本文仅为中经纵横 市场 研究 观点,不代表其他任何投资依据或执行标准等相关行为。如有其他问题,敬请来电垂询:4008099707。特此说明。