第一节 产品定义及发展历程
1、产品定义
甲基丙烯酸二甲基氨基乙酯(简称DM或DMAEMA),是无色透明,有胺气味的液体,闪点为64℃(开放式),沸点186℃(1.013×100000Pa)、68.5℃(1.33×1000Pa),能与水及酯、酮、醇、醚、烃、氯代烃等多种有机溶剂互溶。
产品分子式为:CH2=C(CH3)COOCH2CH2N(CH3)2
2、发展历程
我国直到1992年才开发甲基丙烯酸二甲基氨基乙酯产品,2003年国内年产尚不足200t,且质量低下,每年不得不大量进口。
第二节 产品特点及应用领域 分析
1、产品特点
DM呈胺碱性,分子中含有叔氨基、酯基和不饱和双键,与酸能生成盐,与氯甲烷等烷基化剂反应生成季铵盐。能发生酯基的水解、转酯等反应。不饱和双键能发生加成、聚合、共聚合等一系列反应(甲基丙烯酸二甲基氨基乙酯对人的神经系统有毒害作用,半致死量1000~100mg/Kg动物试验)属中等毒性化学物质。由于其挥发性不大,在生产、运输、贮存和使用过程中注意防护即能避免对人体的伤害)。
2、应用领域 分析
甲基丙烯酸二甲基氨基乙酯是一种功能高分子单体,能改进现有许多精细高分子产品的某些性能,具有广泛的用途。
1)水处理、造纸等 行业 :甲基丙烯酸二甲基氨基乙酯是制造季铵酯型阳离子高分子絮凝剂的原料,制造时,需消耗一半以上的量。亦可用于某些牌号离子交换树脂、高分子分离膜的原料。
2)涂料 行业 :甲基丙烯酸二甲基氨基乙酯还可用于制造性能涂料(如高级内墙涂料,耐磨马路划线漆)、粘合剂,用于电子、印刷、纺织、建筑等 行业 。由于添加了功能单体,提高了产品的亲水性、粘附性、光敏性、带色性、染色性、耐性、抗静电性、柔软性等,因而产品的质量档次提高了,应用领域扩大了。
3)橡胶 行业 :甲基丙烯酸二甲基氨基乙酯用作共聚单体后,可提高丁苯橡胶生胶强度,提高丁苯胶乳和帘子线的粘合力,从而提高了丁苯橡胶的质量,扩大了应用范围。用制造不饱和聚酯树脂时,提高了树脂与增强材料间的粘合力并改进了树脂的色性和抗静电性。
4)日化、医药等其它 行业 :含甲基丙烯酸二甲基氨基乙酯的聚合物广泛用作日用化工 行业 的整发剂等化妆品的基体树酯、洗涤剂、添加剂等,国内已有用于作为摩丝中两性树脂合成的单体,还可用于医用高分子材料,如药物包衣,皮肤保护膜;假牙粘合材料,接触眼镜,血液渗析膜及抗凝血材料用单体等。
某些含甲基丙烯酸二甲基氨基乙酯的共聚物是一类特殊的高分子表面活性剂,可作为聚合乳化剂,润滑油添加剂,精炼油淤渣分散剂,石油和油品降凝合成的单体。
第三节 产业链概述
一、在产业链中的位置
甲基丙烯酸二甲基氨基乙酯产业链简图
二、相关 行业 简述
1、上游 行业
1)二甲基乙醇胺(DMEA) 行业
二甲基乙醇胺是一种无色或淡黄色的液体,有氨味,能和丙酮、乙醚和苯混溶,亦能溶于水,是一种既亲水又亲油的两亲物质,因而它是一种良好的乳化助剂。可作涂料的稳定剂、燃料油的添加剂、化肥厂合成氨二氧化碳的吸收剂、合成树脂的固化剂、纤维织物的柔软剂、聚氨酯塑料泡沫的催化剂和发泡剂。亦可用于药物和阳离子交换树脂的合成。总之,它是一种具有优良结构、性能突出、用途广泛的化合物。
2)甲基丙烯酸甲酯(MMA) 行业
2006年以来,国内甲基丙烯酸甲酯(MMA)市场异常火爆,产销两旺,产品供不应求,MMA价格一路上扬。据统计,2005年我国MMA生产能力为19.8万吨(不含裂解MMA的生产能力),产量为15.8万吨;而当年我国MMA表观消费量已达到33万吨。近几年国内MMA进口量稳步增长,2004年进口量达到8.4万吨。2006年我国还约有500余家裂解生产MMA的厂家,2005年总裂解产量达到12万吨。主要分布在华东、华南、华北等地,以私营或乡镇企业为主。
2、下游 行业
1)阳离子聚丙烯酰胺 行业
阳离子絮凝剂的生产方法是先用酯交换法制备DM,然后再用CH3Cl季铵化制得DMC,最后再与丙烯酰胺共聚制得产品。这类阳离子絮凝剂在美、日等发达国家早已大量生产,其比例已占整个絮凝剂的60%。而国内则仅有少量生产,且工艺落后,规模很小,品种少,质量差。
2005-2008年我国阳离子聚丙烯酰胺产量统计表
单位:万吨
2)涂料 行业
2009年1-12月,2571家全国规模以上涂料企业完成现价工业总产值为1835.91亿元,较去年同期的1585.58亿元上升了15.80%。现价销售产值完成了1791.28亿元,较去年同期的1555.05亿元上升了15.20%,从两项指标的增幅看都高于产量的增长幅度。值得注意的是,2009年出口交货值为75.06亿元,较去年同期的140.17亿元下降了46.4%,出现了较大幅度的负增长。这表明在金融危机的影响下,涂料 行业 同中国整体出口形势一样,出口严重受阻。
第四节 产品生产技术发展现状
目前甲基丙烯酸二甲基氨基乙酯有多种生产方法,但应用最广泛的是酯交换法。我国企业起步较晚,还未掌握生产中的关键性技术,美国和日本走在前列。
第五节 产品生产工艺特点或流程
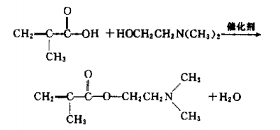
1、醇酸直接酯化法
以甲基丙烯酸和N,N-二甲基乙醇胺(DMEA)为原料,经酸或碱催化制取。反应式如下:
醇酸直接酯化法反应式
由于反应物中一个呈酸性.一个呈碱性,用酸或碱作催化荆都避免不了催化剂和反应物发生反应,生成副产物。同时所用的醇存在着较大的空间位阻,活性不高,反应较慢,因而工业上很少采用此方法。
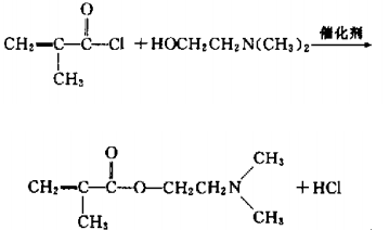
2、酰氯酯化法
酰氯酯化法是用甲基丙烯酰氯和N,N-甲基乙醇胺进行酯化.反应式如下:
酰氯酯化法反应式
由于反应物酰氯非常活泼,此反应需在冰水中进行,其反应条件相对温和,能有效避免发生聚合反应,但反应过程中产生氯化氢,需加入碱性物质吸收。Rowell等报道用三乙胺作为缚酸荆,酯化产率为25%。卓仁禧等对此方法进行了改进,直接用反应物DMEA为缚酸剂.结果表明,酯化产率达到90%。且反应时间较短,后处理也较简便。但甲基丙烯酰氯和催化剂二氯亚砜有毒,因而该反应不符合绿色要求。
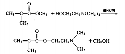
3、酯交换法
以甲基丙烯酸甲醋(MMA)和DMEA为原料,在催化荆作用下,通过酯交换反应制取。反应式如下:
酯交换法反应式
对这种方法日本 研究 得最多,其次是德国和俄罗斯。该反应一般使用过量的MMA,反应后尉产物甲醇和部分MMA形成共沸物,先将共沸物蒸馏除去,再将剩余的MMA通过减压蒸出。为防止原料及产物在反应中发生自聚,需加入阻聚剂。阻聚剂一般为氢醌(对苯二酚)、吩噻嚎、丁基邻苯二酚、苦味酸、硫磺、N-对羟苯基苯胺(p—HOC6H4NHPh)等。
在酯交换反应所用的催化剂中, 研究 得最多的是甲醇钠(NaOMe),酯交换法成本低,步骤简单,目前工业上大都用此法进行生产。
此外,还有降冰片稀法,这种方法是日本Kohjin公司开发的,产品收率为91%。但和其他方法相比,步骤复杂,条件苛刻,所以很少有人采用。
第六节 国内外生产技术发展趋势 分析
未来DM的生产技术发展趋势如下:
1、在DMAEMA的生产中,寻找更优良的催化剂和阻聚剂,选择更好的工艺路线。
2、MMA和DMEA的生产也需要分别进行异丁烯直接氧化的技术改造和扩大生产,以资配套。
3、以DM为单体合成其他产品的开发应用也有待于进一步开拓。
免责申明:本文仅为中经纵横 市场 研究 观点,不代表其他任何投资依据或执行标准等相关行为。如有其他问题,敬请来电垂询:4008099707。特此说明。