第一节 产品技术发展现状
L-肉碱的体外生产包括提取法、合成法、微生物发酵法与酶转化法4种。其中酶转化法又可分为DL肉碱衍生物的酶法拆分、β-脱氢肉碱的酶法转化、反式巴豆碱的酶法水解与γ-丁酰甜菜碱的酶法羟化4种。
制备方法评价 分析 :
1、直接提取法得到的左旋肉碱的绝对量少,并且因有结构类似物的存在而难以分离,提取纯化较繁锁,得率低,不适合工业化生产,经济性不合理。
2、生物合成法严格限制在肝、肾组织,还需烟酸、维生素C、维生素B6、Fe2+的参与,其中维生素C对肉碱的合成速度影响最大。合成-分子赖氨酸和三分子蛋氨酸,赖氨酸提供碳链和氮原子,蛋氨酸提供甲基。肌肉组织中肉碱含量虽然高,但要依赖来自肝、肾的血液输送。
3、工业上常采用以还氧氯丙烷为起始原料的化学合成法,可在反应的不同步骤中进行化学拆分或反应前加人手性试剂进行不对称诱导得到左旋肉碱。该法简便,原料廉价,收率较好,但必须解决NaCN等造成的污染。
4、化学拆分法避开了有毒的氰化物和氯化汞,且无需离子交换树脂,操作安全,简便;生物拆分法尽管纯度很高,但得率太低;通过消旋处理得到的右旋肉碱在以前是作为废物处理的经过一系列反应得到左旋肉碱,这对于废物利用、降低成本以及环境保护都有很重要的意义。
5、微生物发酵法生产肉碱水平较低,如液体发酵法一般含肉碱0.3~0.4mg/g干菌体。另外,由于菌种筛选较复杂,许多 研究 仍停留在实验室水平。
6、从脱氢肉碱出发的肉碱衍生物转变法必须利用昂贵的辅酶NADH,只适于实验室操作从巴豆甜菜碱出发的肉碱衍生物转变法利用拆分废物作原料,降低了成本,潜力较大;从γ-丁基甜菜碱出发的肉碱衍生物转变法尽管转化率及产量都很高,但由于成本昂贵限制了工业化的生产规模。
7、通过基因重组技术生产左旋肉碱尚处于试验阶段,由于此法潜在的优越性,将是今后的 研究 热点。
第二节 产品工艺特点或流程
一、肉碱在体内的合成过程
L-Lys和L-Met在体内合成L-肉碱最初是在20世纪70年代被发现的。从此 研究 者们揭示了这种氨基酸衍生物在动物健康和疾病中起着极其重要的作用(Tanphaichitr等,1971)。肝脏和肾脏是合成L-肉碱的主要合成部位,只有肝脏、肾脏和大脑包含全部过程所需要的酶。L-肉碱是由Lys、Met、三种维生素(烟酸、抗坏血酸、VB6)、二价铁离子和酶的参与下合成的,Lys提供C架(HorneandBroquist,1973;Tanphaichitr等,1973),4个N甲基则来自于Met(Tanphaichitr等,1971),Lys和Met之比为1:3.合成过程见下图。合成后可直接被组织细胞吸收利用或转供给其它组织细胞。
L-肉碱的合成路径
二、制备方法
1、直接提取法
早期的左旋肉碱是从肉浸膏中分离出来的,典型的方法是Carter等1952年用4508牛肉浸膏提取0.6g纯晶肉碱。近年仍有关于从牛肉或牛乳处理液中提取左旋肉碱的专利报道。
2、生物合成法
L-肉碱的生物合成始于赖氨酸和蛋氨酸。首先是富含赖氨酸的蛋白质在蛋白质甲基化酶的催化下,由ti-腺昔蛋氨酸供给甲基将多肤链中的赖氨酸转化为E一三甲基赖氨酸,随后通过体内蛋白酶水解生成三甲基赖氨酸,再通过四步酶促反应合成L-肉碱。
3、化学合成法
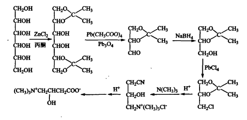
1)以环氧氯丙烷为起始原料
2)以氯乙酞乙酸乙醋为起始原料

3)以甘露糖醇为起始原料

4、消旋体拆分法
化学合成消旋肉碱虽已完全工业化,但由于不能将L-型和有负作用的D-型分开,一般禁止使用。如果将消旋肉碱(DL-肉碱)乙酞化再光学拆分,可得到较高光学纯度的左旋肉碱。
1)化学拆分
美国专利3151149使用D-(+)一樟脑-10-磺酸对DL-肉碱进行拆分,但要使用AgN03除去(Ag+C1-,成本高,收率低(<50%),纯度低存在),生产条件苛刻(A邪I见光使容器变黑)。李全等人 研究 了左旋肉碱盐酸盐的新合成法,以氯乙酸乙醋为原料,经格氏反应、还原、钱化、水解及拆分反应,合成了产物(3302.
2)生物拆分
利用微生物专一降解右旋肉碱的能力生产左旋肉碱。Charles多次试验选育出降解右旋肉碱有特效的菌株,经259C,44h的培养,右旋肉碱全部消失,左旋肉碱剩下38%03。
3)酶法拆分
将DL-肉碱酞化,制成酞胺、乙酞肉碱等再筛选动物微生物中存在的醋酶、酞胺酶等进行生物转化。中山清等报道用假单抱菌的酞胺酶光学拆分DL-构型的消旋肉碱,以制备得到光学纯度为99%的左旋肉碱。
4)右旋肉碱的再利用
消旋所得的右旋肉碱以前是作废物处理的Giannessi从右旋肉碱出发,经酞化、酸水解、内醋化、水解,再通过离子交换柱,加上McS02C1然后在NatC03水溶液中搅拌可得到左旋肉碱。
5、微生物发酵法
细菌、放线菌、酵母菌和霉菌等许多微生物中都有能水解合成L-肉碱的菌株。利用液体深层培养或固体发酵,筛选优良菌株,可生产左旋肉碱。瑞士龙沙公司已将微生物发酵法工业化生产左旋肉碱酒石酸。
6、肉碱衍生化法
1)从脱氢肉碱出发
在由40单位的肉碱脱氢酶、NAD;2mM、甲酸脱氢酶40单位、HC02NH4150mM,磷酸50mM(pH7.5),氯霉素6mg/50mL组成的混合液中匀速加人脱氢肉碱盐酸盐0.8M、甲酸0.8M。加完后,调节温度至3090,加人2MNHo0H,调pH7.0。经过70h,获得10.3g左旋肉碱,收率96%。
2)从巴豆甜菜碱出发
巴豆甜菜碱是生物合成L-肉碱的前体。江苏省微生物 研究 所用此法酶转化产L-肉碱5g/L,转化率40%。
7、基因重组技术法
在传统发酵基础上,通过基因重组技术得到高转化率的微生物菌株,生产左旋肉碱。1995年Eichler将大肠杆菌中CaiD.CaiE基因克隆,并获得转基因工程菌E.colik38,使其肉碱消旋酶的含量及活性显著提高,可用于将DL一肉碱转化为L一肉碱。
三、主要装置
工业上常采用以还氧氯丙烷为起始原料的化学合成法,可在反应的不同步骤中进行化学拆分或反应前加人手性试剂进行不对称诱导得到左旋肉碱。该法简便,原料廉价,收率较好,但必须解决NaCN等造成的污染。
左旋肉碱生产设备
四、制备方法评价
(1)直接提取法得到的左旋肉碱的绝对量少,并且因有结构类似物的存在而难以分离。提取纯化较繁锁,得率低,不适合工业化生产,经济性不合理。
(2)生物合成法严格限制在肝、肾组织,还需烟酸、维生素C、维生素B6、Fe2+的参与,其中维生素C对肉碱的合成速度影响最大。合成一分子赖氨酸和三分子蛋氨酸,赖氨酸提供碳链和氮原子,蛋氨酸提供甲型。肌肉组织中肉碱含量虽然高,但要依赖来自肝、肾的血液输送。
(3)工业上常采用以还氧氯丙烷为起始原料的化学合成法,可在反应的不同步骤中进行化学拆分或反应前加人手性试剂进行不对称诱导得到左旋肉碱。该法简便,原料廉价,收率较好,但必须解决NaCN等造成的污染。
(4)化学拆分法避开了有毒的氰化物和氯化汞,且无需离子交换树脂,操作安全,简便;生物拆分法尽管纯度很高,但得率太低;通过消旋处理得到的右旋肉碱在以前是作为废物处理的,经过一系列反应得到左旋肉碱,这对于废物利用、降低成本以及环境保护都有很重要的意义。
(5)微生物发酵法生产肉碱水平较低,如液体发酵法一般含肉碱0.3~0.4mg/g干菌体。另外,由于菌种筛选较复杂,许多 研究 仍停留在实验室水平。
(6)从脱氢肉碱出发的肉碱衍生物转变法必须利用昂贵的辅酶NADH,只适于实验室操作;从巴豆甜菜碱出发的肉碱衍生物转变法利用拆分废物作原料,降低了成本,潜力较大;从^r一丁基甜菜碱出发的肉碱衍生物转变法尽管转化率及产量都很高,但由于成本昂贵限制了工业化的生产规模。
(7)通过基因重组技术生产左旋肉碱尚处于试验阶段,由于此法潜在的优越性,将是今后的 研究 热点。
第三节 国内外技术未来发展趋势 分析
1、继续加强产品工艺整合、开发
从目前国内外左旋肉碱产品生产工艺来看,目前所应用的工艺在工艺条件、生产规模等方面还不尽如意。因此未来, 行业 必须进一步加强对产品工艺的整合、开发。从目前 行业 主要 研究 方向来看,化学合成法、化学拆分法以及基因重组法有望在未来得到进一步的技术发展。
2、产品纯度进一步提高
左旋肉碱工业生产产品往往含有一定量的右旋肉碱,右旋肉碱不仅没有减肥作用,而且对肌肉生成有害,可造成肌力、肌萎缩。这也是造成目前左旋肉碱不能大规模生产的原因。在未来产品技术 研究 过程中,加强对产品生产环节的生成物控制,提高产品纯度也是未来 行业 技术 研究 的重点。
免责申明:本文仅为中经纵横 市场 研究 观点,不代表其他任何投资依据或执行标准等相关行为。如有其他问题,敬请来电垂询:4008099707。特此说明。